1、工作條件
介質溫度: -25℃ ~ +50℃
最大相對濕度: 95%
周期性搖擺: ±22.5°
持續橫傾: ±15°
持續縱傾: ±10°
振 動: 有
沖 擊: 有
2. 特點
機殼可開啟
可逆轉
防腐性好
抗搖擺、振動和沖擊性能強
3、結構型式
通風機制成電動機置于機殼內的結構,葉輪直接裝在電動機軸上。
葉輪由防腐鋁合金材料澆鑄制成,機殼采用普通鋼質材料焊接而成。
機殼可根據需要制成整體式或沿軸向開啟式。開啟式機殼是將葉輪和電動機裝在可開啟的半機殼上,故便于現場檢修和更換零部件。
通風機制成從電動機端正視,葉輪按順時針方向旋轉,在使用中,允許通風機逆向旋轉。
通風機可配用380V,50HZ或440V,60HZ船用交流電動機。
4、型號說明
通風機型號以漢語拼音字母的字首、葉輪外徑、轉速等表示。示例如下:

其中:
J、C —艦、船用
Z — 軸流通風機
80 — 機殼內徑800mm (圓整后的)
A — 葉輪代號
K — 開啟式機殼
注:整體式機殼不標注
7.5 — 電動機功率為7.5kw
1460 — 標準轉速為1460r/min(50Hz)
5、訂貨須知
5.1 訂貨時請詳細說明通風機的型號、流量、壓力、轉速和結構形式、50HZ或60HZ等。
5.2通風機如果用在甲板上,請按有關規定提出機殼的壁厚。
5.3 訂貨時說明通風機電機的絕緣等級和防護等級(未寫明的為B級絕緣,IP44防護等級)。
5.4 本廠可按用戶需要提供特殊規格和用途等的通風機。
5.5 產品自出廠日起18個月內,凡因質量原因不能使用的,我司負責包修、包換和包退。
6. 通風機使用維護
6.1通風機安裝前,應檢查各部件是否損壞;配套部件是否齊全;檢查葉輪旋向與機殼旋向標識牌是否一致。
6.2安裝管道時,應使其與風機進風口自然對正吻接,不得強行連接。管道應有支撐,不允許將管道重量加在風機上。
6.3風機裝接后,撥動葉輪檢查是否與固定件有摩擦碰撞等現象。如有碰撞、摩擦、噪聲過大或較大振動時,應檢查后再重新啟動。應防止撞擊通風機,不準異物和液體等進入風機內。應及時清除葉輪葉片上的積灰,以免影響平衡增大噪聲。
6.4風機應在進口全敞開狀態下啟動。
6.5風機接線后,接線盒處要密封,避免進氣、進水。
6.6運轉過程中要嚴格控制電機電流,不得超過額定值,否則易燒毀電機。
6.7風機的維修必須在停車時進行。檢修后重新啟動時,應檢查風機各部件是否處于正常狀態。
6.8對風機運轉過程中產生的小故障,應查明原因,設法消除;發現較大故障時,必須立即停車,及時檢修。
7. 性能選用
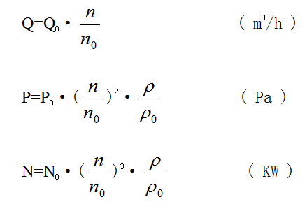
表中性能參數是指標準大氣狀況(大氣壓力為101325pa、溫度為+20℃、相對濕度為50%、密度為1.2kg/m3)下的空氣實際的氣體狀況和轉速與表2中所列不同時,通風機的性能可按下列各式換算:

式中Q0 、P0 、N0、、為標準大氣壓和標準轉速n0時的流量、壓力、功率、氣體密度。Q 、P 、N、ρ、n為實際的流量、壓力、功率、氣體密度和轉速。
標準流量下的全壓值偏差允許為-5%~+10%。